Lompat ke konten Lompat ke sidebar Lompat ke footer

Integral Akar : Hasil Integral 3x Pangkat 3 Akar X Youtube : Msh bingung ni.yg bentuk akar kayak pr ku belum ad niih mas blogger.

Integral Akar : Hasil Integral 3x Pangkat 3 Akar X Youtube : Msh bingung ni.yg bentuk akar kayak pr ku belum ad niih mas blogger.. Berdasarkan pengertian tersebut ada dua hal yang dilakukan dalam integral sehingga dikategorikan menjadi 2 jenis integral. Setelah kita mendapatkan bentuk integral dari fungsi tersebut, kita dapat memasukkan nilai batas atas dan bawah ke dalam fungsi tersebut lalu. Integral rangkap dua ³ ³ y 2 y 1 x 2 (y) x 1 (y) bentuk umum : Berisi kumpulan data dan informasi terkait berbagai topik materi sbmptn yang paling sering keluar pada soal soal sbmptn tahun tahun lalu. Integrate 1 cos x 2 from 0 to 2pi.

Ia adalah lawan dari turunan atau diferensiasi. Integral tentu dan integral tak tentu. Ada 3 rumus dasar integral, silakan cek di bawah ya, quipperian. Integral merupakan bentuk operasi matematika yang menjadi kebalikan (invers) dari operasi turunan dan limit dari jumlah atau suatu luas daerah tertentu. It also shows plots, alternate forms and other relevant information to enhance your mathematical intuition.

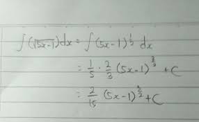
Integral Dari Akar 2x Dikurang 1 Per Akar 2x Dx Caranya Gimana Brainly Co Id
Integral Dari Akar 2x Dikurang 1 Per Akar 2x Dx Caranya Gimana Brainly Co Id from id-static.z-dn.net
Contoh soal integral akar pengertian f x dx notasi integral tak tentu fx c fungsi antiturunan fx fungsi yang diintegralkan integran c konstanta dx diferensial turunan dari x 2. Takut ngeberisikin orang laen.btw, mater. Scribd is the worlds largest social reading and publishing site. Integral rangkap dua ³ ³ y 2 y 1 x 2 (y) x 1 (y) bentuk umum : Integral dibedakan menjadi dua, yaitu integral tak tentu dan integral tentu. More than just an online integral solver wolfram|alpha is a great tool for calculating antiderivatives and definite integrals, double and triple integrals, and improper integrals. Ada 3 rumus dasar integral, silakan cek di bawah ya, quipperian. It also shows plots, alternate forms and other relevant information to enhance your mathematical intuition.

Pembahasan soal un matematika 2017.

Bentuk 1 untuk menyelesaikan integral yang memuat bentuk kita dapat memisalkan p n axb.integral tak tentu dari akar x 3 per x pengkat 2 yaitu. Integral ganda adalah cara untuk berintegrasi pada area dua dimensi. Berdasarkan pengertian otu ada dua hal yang dilakukan dalam integral hingga dikategorikan menjadi 2 jenis integral. Integral merupakan bentuk penjumlahan kontinu yang terdiri dari anti turunan atau kebalikan dari turunan. Scribd is the worlds largest social reading and publishing site. Msh bingung ni.yg bentuk akar kayak pr ku belum ad niih mas blogger. Berikut beberapa sifat akar dan pangkat yang sering digunakan : Biasanya cara ini digunakan untuk metode yang ada untuk menyelesaikan soal integral tidak bisa digunakan. Tahap pertama yang perlu kita lakukan adalah melakukan integral fungsi 3x 2 + 5x + 2 menjadi seperti di bawah ini. Berdasarkan pengertian tersebut ada dua hal yang dilakukan dalam integral sehingga dikategorikan menjadi 2 jenis integral. Semoga selalu sehat dan tetap semangat belajar matematika, ya! Perhatikan gambar jembatan akashi kaikyo di atas selat akashi yang menghubungkan maiko di. Integrate x 2 sin y dx dy x 0 to 1 y 0 to pi.

Integral banyak digunakan untuk memperbaiki arsitektur bangunan dan juga jembatan. ∫ (integral) sebuah fungsi f(x) disebut sebagai integral dari f(x) selagi apabila … Contoh soal integral akar pangkat. Beberapa bentuk dan teknik penyelesaian integral yaitu. Contoh soal pembahasan bentuk pangkat posted on 19082014 07032016 by admin berikut saya sajikan soal dan pembahasan bentuk pangkat baik pilihan ganda dan essay yang dilengkapi dengan pembahasannya untuk sumber aslinya bisa anda lihat bawah.

Rumus Integral Substitusi Contoh Soal Beserta Pembahasannya
Rumus Integral Substitusi Contoh Soal Beserta Pembahasannya from idschool.net
Biasanya cara ini digunakan untuk metode yang ada untuk menyelesaikan soal integral tidak bisa digunakan. Persamaan f(x) = x2 + 2x, ketika persamaan itu di turunakan maka menghasilkan f'(x) = 2x + 2.dengan memakai integral akan bisa mengembalikan bentuk 2x + 2 ke bentuk x2 + 2x. Posted in matematika tagged 10 contoh soal integral tak tentu contoh soal pilihan ganda integral dan pembahasan integral pecahan akar rumus integral fisika rumus integral parsial rumus integral pecahan rumus integral substitusi rumus integral trigonometri. F(x, y) dxdy pengintegralan i dilakukan thd x dimana f(x,y) sbg fungsi dari x dan y konstan, dgn batas integral x 1 (y) ke x 2 (y) pengintegralan ii hasil dari pengintegralan i diintegralkan thd y dengan batas integral y 1 ke y 2 Perhatikan gambar jembatan akashi kaikyo di atas selat akashi yang menghubungkan maiko di. To avoid ambiguous queries make sure to use parentheses where necessary. Integral x pangkat 2 akar x. Berikut beberapa sifat akar dan pangkat yang sering digunakan :

Integral banyak digunakan untuk memperbaiki arsitektur bangunan dan juga jembatan.

Lalu tekan tanda akar pangkat dan diikuti dengan angka 4. Berisi kumpulan data dan informasi terkait berbagai topik materi sbmptn yang paling sering keluar pada soal soal sbmptn tahun tahun lalu. Perhatikan gambar jembatan akashi kaikyo di atas selat akashi yang menghubungkan maiko di. Ia adalah lawan dari turunan atau diferensiasi. Untuk menyelesaikan integral yang memuat bentuk , kita dapat memisalkan p n =ax+b. Integral merupakan cabang ilmu matematika yang memiliki tingkat kesulitan cukup tinggi. Integral x pangkat 2 akar x. Scribd is the worlds largest social reading and publishing site. Contoh soal integral tentu kumpulan contoh soal integral substitusi pecahan berikut ini adalah contoh soal integral substitusi pecahan yang bisa anda download secara gratis di website kami. Mereka memiliki dua variabel dan menganggap fungsi f (x, y) dalam ruang tiga dimensi. Bentuk 1 untuk menyelesaikan integral yang memuat bentuk kita dapat memisalkan p n axb.integral tak tentu dari akar x 3 per x pengkat 2 yaitu. Sebuah fungsi f(x) disebut dengan integral dari f(x) selagi turunan pertama f'(x) = f(x).maka, sebuah persamaan jika diturunkan lalu diintegralkan dan mengahasilkan persamaan seperti pada bentuk awal. Integral merupakan bentuk penjumlahan kontinu yang terdiri dari anti turunan atau kebalikan dari turunan.

Ia adalah lawan dari turunan atau diferensiasi. ∫ (integral) sebuah fungsi f(x) disebut sebagai integral dari f(x) selagi apabila … Ai 28 juli 2017 02.24. Bentuk 1 untuk menyelesaikan integral yang memuat bentuk kita dapat memisalkan p n axb.integral tak tentu dari akar x 3 per x pengkat 2 yaitu. Berdasarkan pengertian tersebut ada dua hal yang dilakukan dalam integral sehingga dikategorikan menjadi 2 jenis integral.

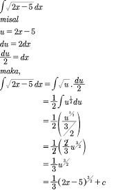
Hasil Integral Akar 2x 5 Dx Adalah Brainly Co Id
Hasil Integral Akar 2x 5 Dx Adalah Brainly Co Id from id-static.z-dn.net
Berilut ini adalah contoh soal dari intgral parsial dan integral substitusi: Integral juga dikenal sebagai antidiferensial dan dilambangkan dengan bentuk : Berikut beberapa sifat akar dan pangkat yang sering digunakan : Integral banyak digunakan untuk memperbaiki arsitektur bangunan dan juga jembatan. Berdasarkan pengertian tersebut ada dua hal yang dilakukan dalam integral sehingga dikategorikan menjadi 2 jenis integral. Integral merupakan cabang ilmu matematika yang memiliki tingkat kesulitan cukup tinggi. Berikut ini adalah contoh soal integral akar tak tentu yang bisa anda unduh secara gratis dengan menekan tombol download yang ada pada tautan dibawah ini. Gradien garis singgung kurva di titik x y ialah 2x 7.

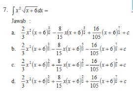
Integral x pangkat 2 akar x.

Berikut ini adalah contoh soal integral akar tak tentu yang bisa anda unduh secara gratis dengan menekan tombol download yang ada pada tautan dibawah ini. Persamaan f(x) = x2 + 2x, ketika persamaan itu di turunakan maka menghasilkan f'(x) = 2x + 2.dengan memakai integral akan bisa mengembalikan bentuk 2x + 2 ke bentuk x2 + 2x. Untuk menentukan integral yang integrannya memuat bentuk akar atau pecahan, langkah awal yang harus dilakukan adalah mengubah terlebih dahulu integran tersebut ke bentuk eksponen (pangkat). Berdasarkan pengertian otu ada dua hal yang dilakukan dalam integral hingga dikategorikan menjadi 2 jenis integral. Pembahasan soal un matematika 2017. Perhatikan gambar jembatan akashi kaikyo di atas selat akashi yang menghubungkan maiko di. About press copyright contact us creators advertise developers terms privacy policy & safety how youtube works test new features press copyright contact us creators. Msh bingung ni.yg bentuk akar kayak pr ku belum ad niih mas blogger. Contoh soal pembahasan bentuk pangkat posted on 19082014 07032016 by admin berikut saya sajikan soal dan pembahasan bentuk pangkat baik pilihan ganda dan essay yang dilengkapi dengan pembahasannya untuk sumber aslinya bisa anda lihat bawah. Integral juga dikenal sebagai antidiferensial dan dilambangkan dengan bentuk : Scribd is the worlds largest social reading and publishing site. Integral merupakan cabang ilmu matematika yang memiliki tingkat kesulitan cukup tinggi. Semoga selalu sehat dan tetap semangat belajar matematika, ya!

Posting Komentar untuk "Integral Akar : Hasil Integral 3x Pangkat 3 Akar X Youtube : Msh bingung ni.yg bentuk akar kayak pr ku belum ad niih mas blogger."